Effects of Time and Grazing Regime on Revegetation of Native Range After Pipeline Installation

Author(s)
Anne Naeth
A.W. Bailey
Original Authors
Anne Naeth
A.W. Bailey
Resource Date:
1984
Page Length
15

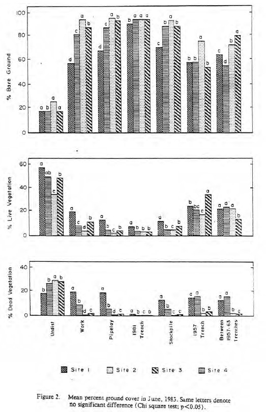
Successful revegetation after pipeline construction in native rangeland requires an effective range management program to expedite a self-sustaining, erosion reducing ground cover.

The study area was located 50 km northeast of Brooks, Alberta. Two early season grazed sites and two late season grazed sites were selected in a pipeline corridor containing pipelines that were installed 3, 12, 16. 21 and 27 years ago. Even after 26 years, species composition and ground cover over the rights-of-way were significantly different from the undisturbed areas. Grazing regime had a profound effect on all vegetative characteristics evaluated.