Combined Overburden Revegetation and Wastewater Disposal in the Southern Alberta Foothills

Author(s)
Harald Thimm
G.J. Clark
G. Baker
Original Authors
Harald Thimm
G.J. Clark
G. Baker
Resource Date:
1977
Page Length
18

The construction of a wastewater evaporation lagoon at the Quirk Creek Gas Plant a number of years ago resulted in the creation of a six acre area of overburden consisting of heavy clay, gravel and rocks. Until the beginning of a pilot reclamation study in 1974 and 1975, virtually no vegetation had invaded this area.

The water lagoon, covering some 5 acres to a depth of 20 feet is fed by plant discharge resulting mainly from boiler
blowdown.

A clay/gravel overburden material, where groundwater movement had been adversely affected by associated construction activities, was revegetated, permitting the harvest of a hay crop three times the local average.  This process was aided by irrigation with a moderately saline plant wastewater, thereby solving a water disposal
problem as well.

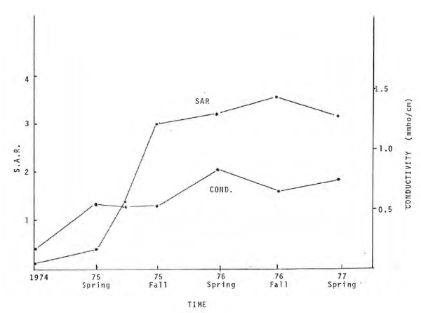
Although the wastewater permitted rapid revegetation, it induced certain changes in the soil chemistry.  These changes in soil characteristics, methods of overcoming these, and resulting groundwater changes will be discussed.