Development of a Recovery Index to Quantify Ecological Recovery of Reclaimed Wellsites

Author(s)
Dave Huggard
Original Authors
Dave Huggard
Resource Date:
2016
Page Length
73

The Ecological Recovery Monitoring project measured habitat structures, soil characteristics and plant species composition in certified reclaimed wellsites and paired adjacent control areas. The wellsites were abandoned and certified from 7 to 48 years previously. Eighteen wellsite-control pairs were surveyed in the Grasslands, and 15 each in the Boreal and Foothills Natural Regions.

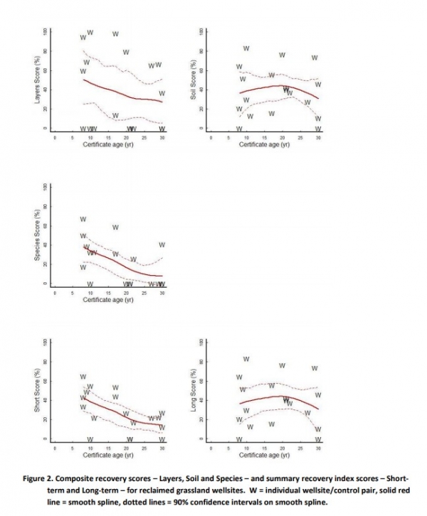
This report summarizes each measured variable in each region, using paired wellsite-control comparisons (wellsite:control ratios for individual habitat structures, percent similarity for species composition). The ratios or similarity values were plotted against certification age to identify variables that show recovery with age or consistent differences between wellsites and controls. Those variables were used for recovery scores, scaling the values between a starting value expected in recently abandoned wellsites and an ending (fully recovered) value given by the adjacent control. Scores  for related variables were combined into 5 composite recovery scores: LiveCanopy  with live basal area and canopy cover (forested regions only), Deadwood with snags and coarse and small woody debris (forested regions only), Vegetation layers with a similarity metric based on 2D cover layers, Soils with three or six soil variables, and Species with percent similarity of plant species. The LiveCanopy, Layers and Species scores respond to certification age, and were further combined into a Short-term recovery score. Deadwood and Soils maintain persistent differences between  wellsites and controls, and form a Long-term recovery score.

The Short-term recovery score increases consistently with certification age in the Foothills. It also increases with age in the Boreal, but three sites have anomalously high recovery scores at younger ages, possibly because certification ages inaccurately represent time since recovery started at those sites. The Short-term recovery score decreases with age of grassland wellsites, because of a known confounding problem, in which more severe rehabilitation and non-native  seeding was used in older wellsites. Long-term recovery shows small increases with age in the forested regions.

The paired wellsite-control sampling design with four quadrats in each control is an important part of allowing relatively simple scoring of recovery for individual wellsites. Further sampling of old wellsites that used modern rehabilitation methods would help to better delineate recovery rates with wellsite age in the forested region. Older wellsites with modern rehabilitation probably do not exist in the grasslands, so confounding of age and management method will remain an issue there. Suggestions are made about a reduced set of field methods that are needed for the recovery scores, although compatibility with ABMI may preclude changes. Overall, the recovery scores developed here should be useful for operational monitoring, with some additional refinement as more wellsites are sampled. Long-term monitoring of some sites would ultimately be needed to show that recovering wellsites are on a trajectory that consistently leads to full recovery.