Effect of Liming on Ni Bioavailability and Toxicity to Oat and Soybean Grown in Field Soils Containing Aged Emissions from a Ni Refinery

Author(s)
S. Cioccio
Y. Gopalapillai
T. Dan
B. Hale
Original Authors
S. Cioccio
Y. Gopalapillai
T. Dan
B. Hale
Resource Date:
2016
Page Length
4

Mitigating toxicity of soil Ni through liming might manifest itself through lower
bioavailability of soil Ni, thus lower tissue concentrations of Ni. Bioavailability of
dissolved metals is reduced as soil pH increases by reducing the free metal ion in
solution, as competition with H+ for negatively charged sites on soil solids decreases [1].
Plant uptake of dissolved Ni may also increase with soil pH above 5, as competition
between protons and metal cations for binding sites on the biotic ligand also decreases
[2,3]. However, the net effect is often a decrease in uptake. Particularly since Ni
solubility also decreases with the increase in pH, and specific to Ni, addition of dolomitic
lime could increase the pore water concentration of Mg2+, which has been shown to
reduce Ni toxicity to soil-dwelling organisms by competing with Ni for the biotic ligand
[2,4]. Finally, tissue concentration of an essential trace element, such as Ni, could be
somewhat influenced by the organism’s tendency towards homeostasis [5], which can
confound the relationship between estimated metal bioavailability and the observed
toxicity. The overall objective of the present work was to generate higher-tier in situ
toxicity data for elevated Ni in soils, which would confirm the observations from the
several pot studies of soils from this site, as well as the framework for predicting soil Ni
toxicity identified by the European Union Risk Assessment Report (EU RAR) [6]. The
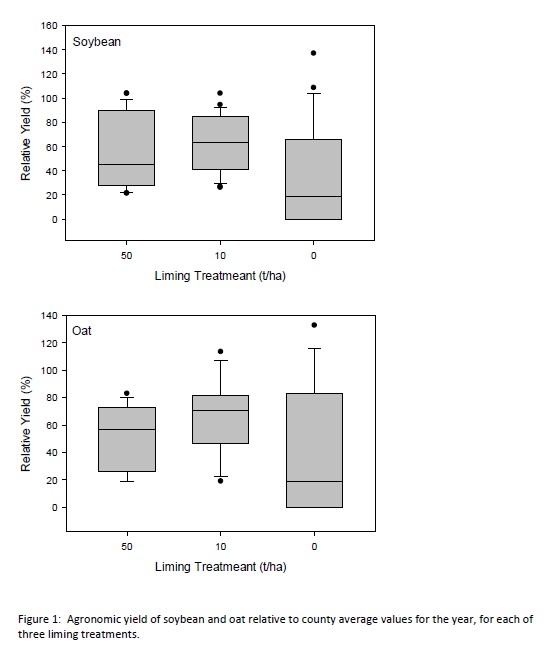
present multi-year study of agronomic yield of field-grown oat and soybean, occurred in
three adjacent fields that had received emissions from a Ni refinery for 66 years. The
soil Ni concentration in the plots ranged between 1300 and 4900 mg/kg, and each field
was amended with either 50, 10 or 0 tonnes/ha of crushed dolomitic limestone.
Dolomitic lime is the preferred method for restoring agricultural soils, and it contains
both Ca and Mg. The goal of the present study was to test the effect of liming on
agronomic yield of soybean and oat, as well as its effect on the plant availability of soil
Ni.

Three agricultural fields near the Ni refinery in Port Colborne, ON which are known to
have elevated concentrations of Ni were amended with crushed dolomitic limestone at
either 50, 10, or 0 t/ha in the summer prior to the first field trial.