Long-term Changes in Soil Salinity as Influenced by Subsoil Thickness in a Reclaimed Coal Mine in East-central Alberta

Author(s)
S.O. Olatuyi
Leonard Leskiw
Original Authors
S.O. Olatuyi
Leonard Leskiw
Resource Date:
2014
Page Length
16

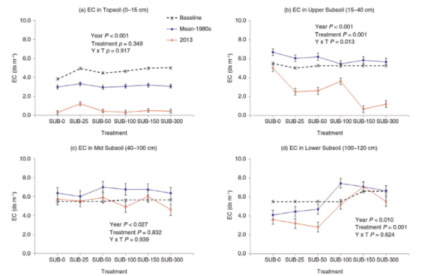
Elevated salinity and sodicity are major challenges to reclamation of surface-mined coal sites in the Alberta Plains region. Research plots were established in 1981 at the Battle River Coal Mine near Forestburg, AB, to determine an optimum depth of subsoil replacement over sodic mine spoil required to sustain agricultural capability. Subsoil thickness was varied at 0, 25, 65, 135, 165 and 335 cm, overlain with 15 cm topsoil. The plots were monitored annually from 1982 to 1986 and were seeded to forage from 1987. Plots were resampled in 2013 to examine long-term changes in soil quality by comparing the results with the historical means for the 1980s. Key soil parameters measured are pH, electrical conductivity (EC), total dissolved salts (TDS), sodium adsorption ratio (SAR) and soluble Na. The soil quality of the root zone (0–40 cm) improved over time in all treatments as EC, TDS, SAR and concentration of Na decreased significantly between the 1980s and 2013. Amounts of EC and soluble Na consistently increased with depth, suggesting salt accumulation was predominantly by downward leaching, but with contribution by upward migration of Na from the underlying spoil. Relative to the native soils in 2013, the root zone quality ratings for EC and SAR in the topsoil/spoil treatment were better than in the shallow-bedrock Solonetzic soil. Ratings for the 25-cm subsoil treatment were also comparable with the local Chernozemic soil, but better than the fine till Solonetzic soil. This study demonstrates that a minimum of 25 cm subsoil and 15 cm topsoil are required for mitigating salinity and sodicity in these reconstructed soils. The resampling in 2013 demonstrates that long-term monitoring is essential to obtain a better understanding of reclamation outcomes.