Northern Biochar for Northern Remediation and Restoration

Authors
K. Stewart
E. Karppinen
S. Siciliano
Resource Date:
2013
Page Length
17

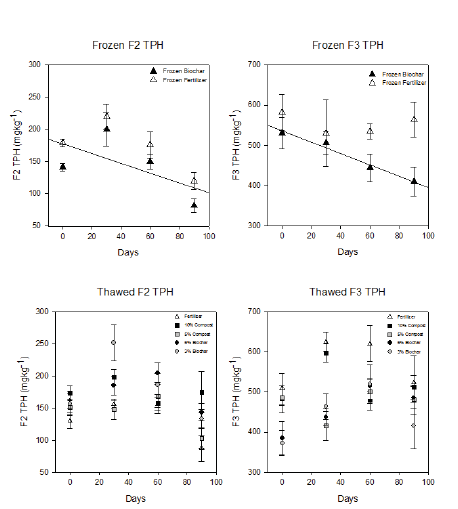
Biochar is a soil amendment that results from heating various biological ingredients, such as wood, fish or animal bone under oxygen limited conditions and has proven to promote plant growth, as well as, hydrocarbon degradation at contaminated sites in southern climates. We are working to identify different types of biochar that promote hydrocarbon degradation, as well as, re-vegetation success in mining- contaminated northern soils. Preliminary results from hydrocarbon contaminated soils indicate that under frozen conditions, 3% biochar was significantly effective, reducing the F2 and F3 fraction by up to 22%. In northern sandy soils biochar may improve the texture of the soil, enhancing water holding capacity, porosity, surface area and the availability of water under frozen conditions, which in turn may stimulate microbial activity that appears to be a driving factor in petroleum hydrocarbons degradation.  The application of a biochar and lime treatment to mine tailings led to significantly higher germination rates and aboveground biomass compared with fertilizer only.  There are a number of potential mechanisms by which biochar may have influenced germination and growth, including retention of soil moisture, temperature at the surface due to low albedo, increased nutrient retention and reduction in bioavailability of heavy metals.