Long-term Changes in Soil Salinity as Influenced by Subsoil Thickness in a Reclaimed Coal Mine in East-central Alberta
Resource
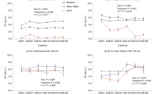
Elevated salinity and sodicity are major challenges to reclamation of surface-mined coal sites in the Alberta Plains region. Research plots were established in 1981 at the Battle River Coal Mine near...