The Battle River Reconstruction Project involves four (4) experiments designed to assess methods of reconstructing soil profiles in order
to ameliorate the problems caused by the saline/sodic nature of the subsoils and bedrock.
The experiments assess soil reconstruction methods in terms of (a) varying subsoil depths; (b) separating and mixing subsoil horizons;
(c) the use of bottom ash as a capillary barrier to salt movement; (d) altering the surface configuration (slope and aspect) of the reclaimed
land; and (e) the use of gypsum and bottom ash as surface amendments. Yields from cereal and forage plots and soil salt and moisture movement have been monitored for 3 years. This paper discusses the results from the third growing season of the project.
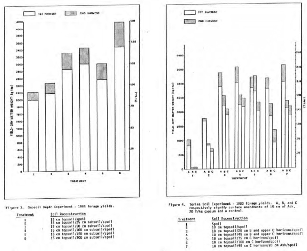
This year's yields indicate that (a) forage production is more successful than cereal production; (b) topsoil is essential for reclamation;
(c) increased subsoil depth results in higher yields and more favorable salinity and sodicity in the upper rooting zone; (d) bottom ash applied
on the surface or above spoil increases forage production; and (e) gypsum applied at 20 T/ha helps to ameliorate the sodium problems that occur in reclamation of Torlea soils.
In 1983, a drought stressed season, it seems that crop yields were mainly determined by soil moisture supplying capability of the soils rather than soil chemical properties . Nevertheless, there is ample evidence of salt migration and continued monitoring will allow confirmation of trends.