The Use of Commercially-Produced Enzymes or Organic Amendments to Degrade Oil in Contaminated Soils

Organization
Resource Type
Author(s)
Paul Yeung
Richard Johnson
Original Authors
Paul Yeung
Richard Johnson
Resource Date:
1991
Page Length
12

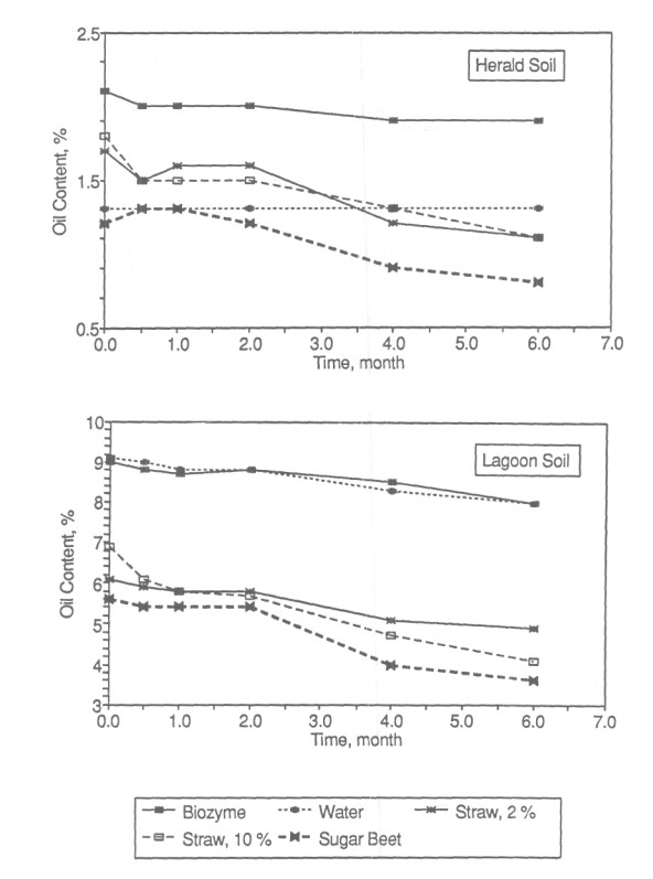
Commercially-produced enzymes were not effective in degrading
oil in contaminated soil over a six month incubation period. The
incorporation of barley straw (1.0% by weight) led to a 41% decrease
in oil content in the heavily contaminated (74 mg/g of oil) Lagoon
soil and a 38% reduction in the less contaminated (16 mg/g of oil)
Herald soil over the same time. Barley straw added at 2% by weight
reduced oil content by 21% in the Lagoon soil and 34% in the Herald
soil. Sugar beet pulp incorporated at 2% by weight was nearly as
effective as the 10% straw treatment in degrading oil in both the
Lagoon and the Herald soils.
Soil water repellency was reduced immediately by the enzyme
treatment and in two months by the 10% straw amendment.
Subsequently, water repellency returned and was particularly severe
in the 10% straw treatment.