Evaluation of Substrate and Amendment Materials for Soil Reclamation at a Diamond Mine in the Northwest Territories, Canada

Author(s)
Bonnie Drozdowski
Anne Naeth
Sarah Wilkinson
Original Authors
Bonnie Drozdowski
Anne Naeth
Sarah Wilkinson
Resource Date:
2012
Page Length
12

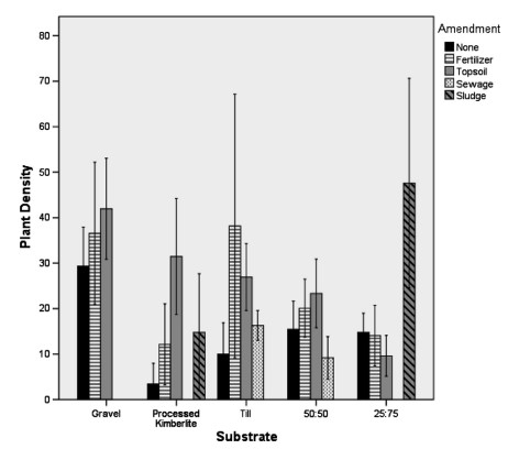
Mine waste materials with potential for use in soil construction at a diamond mine in the Northwest Territories were evaluated to address physical and chemical limitations for plant establishment, growth and development.  Substrates were glacial till, gravel, processed kimberlite, and 50:50 and 25:75 mixes of processed kimberlite and till. Amendments were salvaged topsoil, sewage sludge, inorganic fertilizer and sludge from a water treatment facility.  Reclamation soils constructed with these materials were adequate for revegetation.  Mixes of processed kimberlite and glacial till enhanced soil structure and diluted adverse concentrations of elements.  The original gravel pad, alone or amended, was a suitable substrate for plants.  Addition of organic amendments topsoil and sludge, to any substrate, increased organic matter, nutrients and surface water retention.
Of amendments evaluated, salvaged topsoil provided the most consistent increase in plant density among substrates.  Inorganic fertilizer applied to gravel or till provided results similar to those with topsoil.  Sludge had potential to amend mixes of processed kimberlite and till, although results were variable.  Sewage was a good source of organic matter, increasing soil water content and macro nutrients. Vegetation response was poor in sewage-amended treatments likely due to combined effects of high copper, molybdenum, phosphorus, selenium, sulphate and zinc.